Productos notables Ejercicios Resueltos

0

 Productos notables Ejercicios Resueltos


Productos notables Ejercicios Resueltos


PRODUCTOS NOTABLES

Los productos notables son fórmulas que permiten efectuar multiplicaciones indicadas, sin aplicar los criterios generales de la multiplicación algebraica, y deben satisfacer las siguientes propiedades:


PROPIEDAD 1

El grado del producto es igual a la suma de los grados de los factores, en efecto:


Productos Notables propiedad 1


Ejemplo. 1: Hallar el grado de P(x) 

Hallar el grado de P(x)


Solución:

Observemos que el grado en cada paréntesis es:

Hallar el grado de P(x)


Ejemplo 2: Hallar el grado de R(x) 

Hallar el grado de P(x)

Solución:

Para este caso, el grado correspondiente en cada paréntesis es:

Para este caso, el grado correspondiente en cada paréntesis es:

PROPIEDAD 2

El término independiente del producto es igual al producto de los términos independientesde los factores, es decir:

El término independiente del producto es igual al producto de los términos independientesde los factores

Ejemplo 1: Hallar el término independiente de P(x) en:

Hallar el término independiente de P(x) en

Solución:

El término independiente en cada paréntesis es:

El término independiente en cada paréntesis es

 

Ejemplo 2: Hallar el término independiente de P(x) en:

Hallar el término independiente de P(x) en


Solución: 

En este caso, el término independiente en cada paréntesis es:

En este caso, el término independiente en cada paréntesis es

Para un entendimiento coherente respecto a los productos notables y las identidades, los observaremos por grupos:


GRUPO: I 

I. Cuadrado del Binomio

Cuadrado del Binomio

II. Cubo del Binomio

Cubo del Binomio

Estas mismas fórmulas se pueden expresar bajo las formas:


Cubo del Binomio

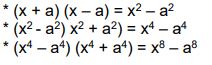
III. Diferencia de cuadrados (suma por diferencia) 

Diferencia de cuadrados

IV. Suma y Diferencia de cubos 

Suma y Diferencia de cubos


Ejemplos: 

01. Efectuar

01. Efectuar

Solución:

Teniendo en cuenta que:

Teniendo en cuenta que

Entonces:

Entonces
por consiguiente

02. Simplificar:

Simplificar:


Solución 

Dado que:

Solución

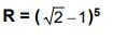
03. Calcular:

R= (2-1)5

Solución:

Expresando convenientemente, se tendría:

solución rápida

Operando por partes:

solución rápida

Con lo cual, se tendría:

solución rapida

4. Si:

solución rápida

Solución

Elevando la condición al cubo, se obtiene:  

solución rápida

EJERCICIOS RESUELTOS

1. Si:

Si x2 + y2=36 y xy = 18

 

2. Si:

Si: x + x 1 = 3; Calcule: x 4 + 4 x 1
Si: x + x 1 = 3; Calcule: x 4 + 4 x 1


 3. Si:


. Si: a b b a + = 4 ; Calcule:

4. Si:

Si: n 1 m 1 − = m n 4 − , Calcule:

5. Si:

Si: a b b a + = 62, entonces


6. Si:

Si: a + b = 5 y ab = 3; Calcule:


7. Simplifique:

Simplifique:


8. Simplifique:

Simplifique:

 

9. Halle el valor numérico de:

Halle el valor numérico de:


Parte 2: https://pit4goras.blogspot.com/2022/01/productos-notables-ii-ejercicios.html



No hay comentarios