Teoría de ecuaciones Ejercicios Resueltos

0

Teoría de ecuaciones Ejercicios Resueltos


Teoría de ecuaciones Ejercicios Resueltos


ECUACIÓN

Es una relación de igualdad que se establece entre dos expresiones matemáticas de por lo menos una variable y que se verifica para un determinado conjunto de valores asignados a sus variables.

Ejemplos:

ECUACIÓN


SOLUCIÓN DE UNA ECUACIÓN

Es aquel valor que toma la incógnita de una ecuación y verifica la igualdad.

SOLUCIÓN DE UNA ECUACIÓN

CONJUNTO SOLUCIÓN DE UNA ECUACIÓN (C.S.)

Es la reunión de todas las soluciones particulares que presenta la ecuación.


CLASIFICACIÓN DE LAS ECUACIONES SEGÚN SUS SOLUCIONES

Ecuación Compatible 

Es aquella que tiene al menos un elemento en su conjunto solución. Se subdivide en: 


A. Ecuación compatible determinada 

Es aquella que tiene un número limitado de elementos en su conjunto solución.

A. Ecuación compatible determinada


B. Ecuación compatible indeterminada

Es aquella que tiene un número ilimitado de elementos en su conjunto solución.

Ejemplos: 

• 0x = 0 

• x = x 

• x + 2 = x + 2 

Ecuación Incompatible

Es aquella que no tiene ningún elemento en su conjunto solución, es decir su conjunto solución es vacío.

Ecuación Incompatible


Ecuación Lineal  (Ecuación de 1er grado) Es aquella ecuación polinomial de la forma:

Ecuación Lineal


Ejemplos: 

• 3x + 9 = 0 = C.S. => {–3} 

• 7x – 5 = 0 = C.S. => {5/7}

EJERCICIOS RESUELTOS

01. Resolver:

Teoría de ecuaciones Ejercicios Resueltos


02. Resolver: 

Teoría de ecuaciones Ejercicios Resueltos


03. Resolver:

Teoría de ecuaciones Ejercicios Resueltos


04. Resolver:

Teoría de ecuaciones Ejercicios Resueltos


05. Sea la ecuación de 1er grado:

Teoría de ecuaciones Ejercicios Resueltos


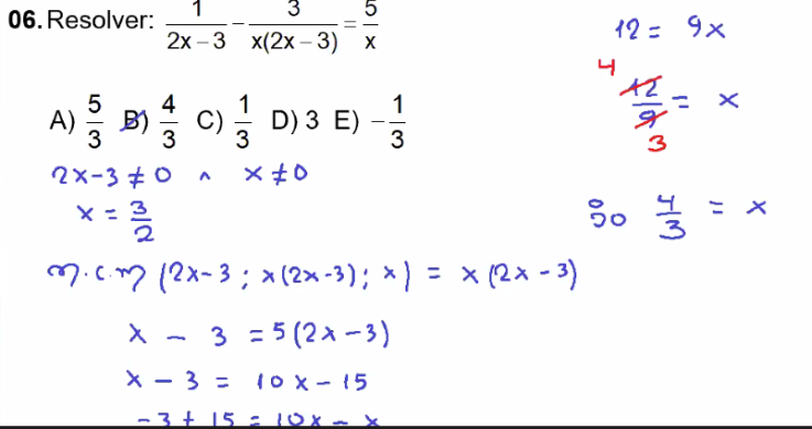
06. Resolver:

Teoría de ecuaciones Ejercicios Resueltos


07. Resolver:

Teoría de ecuaciones Ejercicios Resueltos


08. Resolver:

Teoría de ecuaciones Ejercicios Resueltos


09. Resolver:

Teoría de ecuaciones Ejercicios Resueltos


10. Calcular “n”, si la ecuación:

Teoría de ecuaciones Ejercicios Resueltos


11. Resolver:

Teoría de ecuaciones Ejercicios Resueltos


12. Resolver:

Teoría de ecuaciones Ejercicios Resueltos


13. Resolver:

Teoría de ecuaciones Ejercicios Resueltos


14. Resolver:

Teoría de ecuaciones Ejercicios Resueltos





No hay comentarios