Ecuaciones Fraccionarias Ejercicios Resueltos

0

Ecuaciones Fraccionarias Ejercicios Resueltos


Ecuaciones Fraccionarias Ejercicios Resueltos


Concepto

Sea:

Ecuaciones Fraccionarias


una ecuación fraccionaria donde se debe tener en cuenta:

Ecuaciones Fraccionarias


Para poder resolverla se reduce:

Ecuaciones Fraccionarias


Ejemplo:

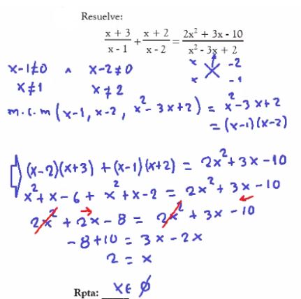
1) Resuelve : 

Ecuaciones Fraccionarias Ejercicios Resueltos


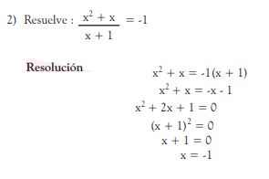
2) Resuelve :

Ecuaciones Fraccionarias Ejercicios Resueltos
Ecuaciones Fraccionarias Ejercicios Resueltos


En forma general, tenemos que:

Ecuaciones Fraccionarias


la ecuación fraccionaria se reduce a:

Ecuaciones Fraccionarias


Ejemplos:

1) Resuelve :

Ecuaciones Fraccionarias Ejercicios Resueltos


2) Resuelve:

Ecuaciones Fraccionarias Ejercicios Resueltos


EJERCICIOS RESUELTOS

1. Resuelve:

Ecuaciones Fraccionarias Ejercicios Resueltos


2. Resuelve: 

Ecuaciones Fraccionarias Ejercicios Resueltos


3. Resuelve: 

Ecuaciones Fraccionarias Ejercicios Resueltos


4. Resuelve: 

Ecuaciones Fraccionarias Ejercicios Resueltos


5. Resuelve:

Ecuaciones Fraccionarias Ejercicios Resueltos


6. Resuelve 

Ecuaciones Fraccionarias Ejercicios Resueltos


7. Resuelve:

Ecuaciones Fraccionarias Ejercicios Resueltos


8. Resuelve:

Ecuaciones Fraccionarias Ejercicios Resueltos


9. Resuelve

Ecuaciones Fraccionarias Ejercicios Resueltos


10. Resuelve:

Ecuaciones Fraccionarias Ejercicios Resueltos


11. Resuelve:

Ecuaciones Fraccionarias Ejercicios Resueltos


12. Resuelve:



Ecuaciones Fraccionarias Ejercicios Resueltos


13. Resuelve:

Ecuaciones Fraccionarias Ejercicios Resueltos


14. Resuelve:

Ecuaciones Fraccionarias Ejercicios Resueltos


15. Resuelve:

Ecuaciones Fraccionarias Ejercicios Resueltos


16. Resuelve:

Ecuaciones Fraccionarias Ejercicios Resueltos


17. Resuelve:

Ecuaciones Fraccionarias Ejercicios Resueltos


18. Resuelve:

Ecuaciones Fraccionarias Ejercicios Resueltos


19. Resuelve:

Ecuaciones Fraccionarias Ejercicios Resueltos


20. Resuelve:

Ecuaciones Fraccionarias Ejercicios Resueltos


21. Resuelve:

Ecuaciones Fraccionarias Ejercicios Resueltos








 

No hay comentarios